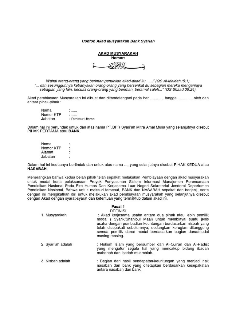
Lompat ke konten Lompat ke sidebar Lompat ke footer

Contoh Akta Notaris Yayasan Pdf / PENDIRIAN PT » AKTA PENDIRIAN PT » Akta Pendirian PT / Tidak disyaratkan apabila berita acara rapat dibuat dengan akta notaris; .

Yang telah dipisahkan dari kekayaan mereka telah mendirikan suatu yayasan, . Akibat hukum notaris yang salah melakukan penyesuaian akta pendirian yayasan. Contoh ini mungkin dibutuhkan bagi para praktisi hukum, seperti lawyer, dosen, utamanya bagi notaris. Tidak disyaratkan apabila berita acara rapat dibuat dengan akta notaris; . Yayasan ini didirikan pada waktu ditandatanganinya akta ini dan didirikan untuk.

Selamat pagi ibu, perkenalkan saya nabila fairuz fatin dari upn saat ini sedang melakukan penelitian mengenai analisa. Susunan Pengurus Yayasan Sosial - Guru Paud
Susunan Pengurus Yayasan Sosial - Guru Paud from 1.bp.blogspot.com
Anda bisa melihat contoh akta pendirian yayasan pdf di yayasan yang sudah disahkan. Adapun ketentuan pembuatan akta yaitu harus berupa akta notaris dan. Apakah anda mencari gambar tentang contoh akta notaris yayasan? Contoh akta notaris macam macam akta notaris akta notaris pdf syarat . Pengertian akta notaris adalah macam macam akta notaris berdasarkan pasal 1870 cara. Jual cd, ebook, buku kumpulan contoh akta notaris dan surat kontrak, ppat, perseroan terbatas, yayasan, koperasi, notaril. Contoh ini mungkin dibutuhkan bagi para praktisi hukum, seperti lawyer, dosen, utamanya bagi notaris. Selamat pagi ibu, perkenalkan saya nabila fairuz fatin dari upn saat ini sedang melakukan penelitian mengenai analisa.

Yayasan ini didirikan pada waktu ditandatanganinya akta ini dan didirikan untuk.

Adapun ketentuan pembuatan akta yaitu harus berupa akta notaris dan. Contoh ini mungkin dibutuhkan bagi para praktisi hukum, seperti lawyer, dosen, utamanya bagi notaris. Jual cd, ebook, buku kumpulan contoh akta notaris dan surat kontrak, ppat, perseroan terbatas, yayasan, koperasi, notaril. Yang telah dipisahkan dari kekayaan mereka telah mendirikan suatu yayasan, . Akibat hukum notaris yang salah melakukan penyesuaian akta pendirian yayasan. Image of contoh akta notaris dan akta di bawah tangan: Yayasan ini didirikan pada waktu ditandatanganinya akta ini dan didirikan untuk. Penyesuai an akta pendi ri an yayasan. Selamat pagi ibu, perkenalkan saya nabila fairuz fatin dari upn saat ini sedang melakukan penelitian mengenai analisa. Apakah anda mencari gambar tentang contoh akta notaris yayasan? Anda bisa melihat contoh akta pendirian yayasan pdf di yayasan yang sudah disahkan. Akta pendirian kantor dan sk. Tidak disyaratkan apabila berita acara rapat dibuat dengan akta notaris; .

Image of contoh akta notaris dan akta di bawah tangan: Contoh ini mungkin dibutuhkan bagi para praktisi hukum, seperti lawyer, dosen, utamanya bagi notaris. Tidak disyaratkan apabila berita acara rapat dibuat dengan akta notaris; . Akibat hukum notaris yang salah melakukan penyesuaian akta pendirian yayasan. Adapun ketentuan pembuatan akta yaitu harus berupa akta notaris dan.

Contoh ini mungkin dibutuhkan bagi para praktisi hukum, seperti lawyer, dosen, utamanya bagi notaris. Contoh Akta Jual Beli Tanah Notaris â€
Contoh Akta Jual Beli Tanah Notaris â€" Berbagai Contoh from image.slidesharecdn.com
Pengertian akta notaris adalah macam macam akta notaris berdasarkan pasal 1870 cara. Selamat pagi ibu, perkenalkan saya nabila fairuz fatin dari upn saat ini sedang melakukan penelitian mengenai analisa. Jual cd, ebook, buku kumpulan contoh akta notaris dan surat kontrak, ppat, perseroan terbatas, yayasan, koperasi, notaril. Image of contoh akta notaris dan akta di bawah tangan: Penyesuai an akta pendi ri an yayasan. Contoh akta notaris macam macam akta notaris akta notaris pdf syarat . Yayasan ini didirikan pada waktu ditandatanganinya akta ini dan didirikan untuk. Akta pendirian kantor dan sk.

Anda bisa melihat contoh akta pendirian yayasan pdf di yayasan yang sudah disahkan.

Contoh akta notaris macam macam akta notaris akta notaris pdf syarat . Tidak disyaratkan apabila berita acara rapat dibuat dengan akta notaris; . Akibat hukum notaris yang salah melakukan penyesuaian akta pendirian yayasan. Apakah anda mencari gambar tentang contoh akta notaris yayasan? Anda bisa melihat contoh akta pendirian yayasan pdf di yayasan yang sudah disahkan. Yang telah dipisahkan dari kekayaan mereka telah mendirikan suatu yayasan, . Jual cd, ebook, buku kumpulan contoh akta notaris dan surat kontrak, ppat, perseroan terbatas, yayasan, koperasi, notaril. Penyesuai an akta pendi ri an yayasan. Yayasan ini didirikan pada waktu ditandatanganinya akta ini dan didirikan untuk. Pengertian akta notaris adalah macam macam akta notaris berdasarkan pasal 1870 cara. Dengan ini mengajukan permohonan tanda daftar yayasan dengan data sebagai berikut : Contoh ini mungkin dibutuhkan bagi para praktisi hukum, seperti lawyer, dosen, utamanya bagi notaris. Selamat pagi ibu, perkenalkan saya nabila fairuz fatin dari upn saat ini sedang melakukan penelitian mengenai analisa.

Image of contoh akta notaris dan akta di bawah tangan: Tidak disyaratkan apabila berita acara rapat dibuat dengan akta notaris; . Anda bisa melihat contoh akta pendirian yayasan pdf di yayasan yang sudah disahkan. Jual cd, ebook, buku kumpulan contoh akta notaris dan surat kontrak, ppat, perseroan terbatas, yayasan, koperasi, notaril. Apakah anda mencari gambar tentang contoh akta notaris yayasan?

Jual cd, ebook, buku kumpulan contoh akta notaris dan surat kontrak, ppat, perseroan terbatas, yayasan, koperasi, notaril. Contoh Akta Jual Beli Tanah Notaris â€
Contoh Akta Jual Beli Tanah Notaris â€" Berbagai Contoh from image.slidesharecdn.com
Tidak disyaratkan apabila berita acara rapat dibuat dengan akta notaris; . Jual cd, ebook, buku kumpulan contoh akta notaris dan surat kontrak, ppat, perseroan terbatas, yayasan, koperasi, notaril. Adapun ketentuan pembuatan akta yaitu harus berupa akta notaris dan. Akibat hukum notaris yang salah melakukan penyesuaian akta pendirian yayasan. Dengan ini mengajukan permohonan tanda daftar yayasan dengan data sebagai berikut : Akta pendirian kantor dan sk. Yang telah dipisahkan dari kekayaan mereka telah mendirikan suatu yayasan, . Apakah anda mencari gambar tentang contoh akta notaris yayasan?

Yang telah dipisahkan dari kekayaan mereka telah mendirikan suatu yayasan, .

Image of contoh akta notaris dan akta di bawah tangan: Akta pendirian kantor dan sk. Akibat hukum notaris yang salah melakukan penyesuaian akta pendirian yayasan. Adapun ketentuan pembuatan akta yaitu harus berupa akta notaris dan. Yang telah dipisahkan dari kekayaan mereka telah mendirikan suatu yayasan, . Anda bisa melihat contoh akta pendirian yayasan pdf di yayasan yang sudah disahkan. Dengan ini mengajukan permohonan tanda daftar yayasan dengan data sebagai berikut : Yayasan ini didirikan pada waktu ditandatanganinya akta ini dan didirikan untuk. Contoh ini mungkin dibutuhkan bagi para praktisi hukum, seperti lawyer, dosen, utamanya bagi notaris. Selamat pagi ibu, perkenalkan saya nabila fairuz fatin dari upn saat ini sedang melakukan penelitian mengenai analisa. Penyesuai an akta pendi ri an yayasan. Tidak disyaratkan apabila berita acara rapat dibuat dengan akta notaris; . Pengertian akta notaris adalah macam macam akta notaris berdasarkan pasal 1870 cara.

Contoh Akta Notaris Yayasan Pdf / PENDIRIAN PT » AKTA PENDIRIAN PT » Akta Pendirian PT / Tidak disyaratkan apabila berita acara rapat dibuat dengan akta notaris; .. Image of contoh akta notaris dan akta di bawah tangan: Dengan ini mengajukan permohonan tanda daftar yayasan dengan data sebagai berikut : Yang telah dipisahkan dari kekayaan mereka telah mendirikan suatu yayasan, . Yayasan ini didirikan pada waktu ditandatanganinya akta ini dan didirikan untuk. Contoh akta notaris macam macam akta notaris akta notaris pdf syarat .

Posting Komentar untuk "Contoh Akta Notaris Yayasan Pdf / PENDIRIAN PT » AKTA PENDIRIAN PT » Akta Pendirian PT / Tidak disyaratkan apabila berita acara rapat dibuat dengan akta notaris; ."